Thời gian làm việc:
8g00 – 17g30 ( T2 – T6)
8g00 – 11g30 (T7)
Fucoidan tồn tại tự nhiên trong thành tế bào của rong biển nâu. Chúng có chức năng bảo vệ rong biển khỏi các tác nhân gây bệnh lây truyền qua nước và các thách thức môi trường khác. Fucoidan là polysaccharide chuỗi dài, một thành phần có đặc tính đề kháng, tạo ra hàng rào để tự bảo vệ trước môi trường tự nhiên khắc nghiệt, như khô cạn và ánh nắng mặt trời khi thủy triều xuống.
Mặc dù rong biển có lịch sử lâu đời trong vai trò dược liệu, nhưng phải đến thế kỷ 20, fucoidan mới lần đầu tiên được phân lập và công nhận về tiềm năng trị liệu của nó. Khi fucoidan được thương mại hóa, nghiên cứu toàn cầu về các đặc tính hoạt tính sinh học độc đáo của chúng đã tăng lên đáng kể. Hiện nay, có hơn 4.000 bài báo khoa học ủng hộ các lợi ích sinh lý của fucoidan. Nhờ những nghiên cứu này, chiết xuất fucoidan hiện được sử dụng trong nhiều ứng dụng khác nhau, bao gồm thực phẩm bổ sung, thiết bị y tế và các chế phẩm bôi ngoài da cho da.
Tên khoa học: Cladosiphon okamuranus
Là loại rong biển ăn được thường được lấy chủ yếu từ vùng Okinawa và Mozuku Fucoidan được biết đến là có tác dụng về miễn dịch của sức khỏe. Mozuku ở Okinawa thường to hơn, dày và chứa nhiều fucoidan hơn các loại Mozuku ở nơi khác.
Đây là một thực phẩm thiết yếu trong chế độ ăn của người Okinawa, góp phần nâng cao tuổi thọ của khu vực này.
Tên khoa học: Undaria pinnatifida
Thường được gọi là wakame, là một loại rong biển nâu có nguồn gốc từ Nhật Bản. Nó được du nhập vào Nam bán cầu.
Undaria sinh sống ở vùng nước ven biển ở độ sâu khoảng 20 mét và thường được tìm thấy ở các khu vực rạn san hô được che chắn. Các điều kiện như nhiệt độ, chất dinh dưỡng có sẵn, ánh sáng và độ sâu đều là những biến số quan trọng trong vòng đời của rong biển.
Bào tử sản sinh ra tới 100 triệu bào tử, sau đó lắng đọng và phát triển thành các cá thể mới. Undaria có thể đạt chiều dài khoảng 2 m trong vòng chưa đầy một năm và tốc độ tăng trưởng có thể lên tới 1 cm mỗi ngày – khiến loài này trở thành nguồn tài nguyên biển có khả năng tái tạo nhanh chóng.
Tên khoa học: Fucus Vesiculosus, Bladderwrack
Là một loài rong biển màu nâu thường được tìm thấy dọc theo các bờ biển kín gió ở Bắc bán cầu. Thường được gọi là rong bàng quang, Fucus vesiculosus
nổi tiếng với các nhánh lá phân nhánh với gân giữa nổi bật và các phao nổi hình bong bóng dễ thấy.
Những túi khí gần như hình cầu này giúp rong biển nổi cao trên mặt nước, đảm bảo tiếp cận được nhiều ánh sáng mặt trời để quang hợp. Khi điều kiện thuận lợi, rong có thể mọc dày đặc, tạo thành một tấm thảm dày trên bờ biển. Các phiến rong có thể phát triển hơn 0,5 cm mỗi tuần và cuối cùng đạt kích thước lên tới 2 m trong suốt vòng đời năm năm của chúng.
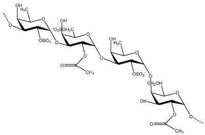
Cấu trúc hóa học của Mozuku (Cladosiphon okamuranus)
Cấu trúc hóa học của Mekabu (Undaria pinnatifida)
Cấu trúc hóa học của Bladderwrack (Fucus vesiculosus)
Không phải tất cả fucoidan đều giống nhau. Chúng là một nhóm hợp chất tự nhiên đã được nghiên cứu rộng rãi và chứng minh có hoạt tính sinh học có lợi trong nhiều điều kiện sức khỏe của con người. Nghiên cứu do Marinova thực hiện đã xác nhận rằng hoạt tính sinh học của chiết xuất fucoidan phụ thuộc vào hai yếu tố chính:
• Phương pháp chiết xuất; và
• Loài rong biển được dùng để sản xuất ra nó.
Hai yếu tố này là yếu tố quyết định hiệu quả cuối cùng. Các phương pháp chiết xuất truyền thống có thể làm giảm tính toàn vẹn và chức năng của fucoidan thu được.
Nhận thấy tiềm năng và lợi ích của các loại tảo nâu, thay vì chỉ sử dụng một trong ba loại fucoidan (mozuku, mekabu hoặc fucus) bạn hãy lựa chọn dòng sản phẩm nào có từ 2 loại tảo nâu hoặc kết hợp cả 3 loại tảo nâu để tăng cường hiệu quả.

Fucoidan là một chuỗi polysaccharide phân tử cao, với thành phần chính là fucose, được đặc trưng bởi hàm lượng cao sulfated fucose. Theo định nghĩa đó, Fucoidan phải ở dạng phân tử cao để có thể hoạt động hiệu quả trong cơ thể.
Polysaccharide được định nghĩa là một “loại đường được tạo ra bởi ít nhất 10 monosaccharide liên kết với nhau thông qua quá trình tách nước”. Nói cách khác, Fucoidan là một chuỗi có ít nhất 10 monosaccharide, gồm thành phần chính là fucose.
Nếu dùng fucoidan với trọng lượng phân tử thấp chỉ có 2 hoặc 3 monosaccharide liên kết với nhau. Điều này hoàn toàn khác biệt so với Fucoidan ở trạng thái tự nhiên, có chứa ít nhất 10 monosaccharide.
Chọn Fucoidan trọng lượng phân tử cao để đem lại lợi ích hoàn toàn từ Fucoidan cho sức khỏe của bạn.
🎁 Nhận ngay tài liệu công dụng của các loại tảo nâu
MIỄN PHÍ!
bóng đá Xoi Lac 1 tv trực tiếp